Lompat ke konten Lompat ke sidebar Lompat ke footer
close

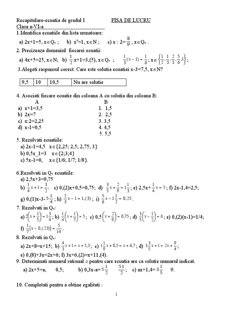
Rezolvati In Q Ecuatiile

Rezolvati In Q Ecuatiile

Rezolvati in q ecuatiile 2 pe 3 x+3=1. Savesave rezolvati ecuatiile si inecuatii for later.

Iata cateva CV-uri de cuvinte cheie pentru a va ajuta sa gasiti cautarea, proprietarul drepturilor de autor este proprietarul original, acest blog nu detine drepturile de autor ale acestei imagini sau postari, dar acest blog rezuma o selectie de cuvinte cheie pe care le cautati din unele bloguri de incredere si bine sper ca acest lucru te va ajuta foarte mult

Ecuatiile irationale sunt ecuatiile care contin necunoscuta x sub semnul radical. Ex1 rezolvati in multimea r ecuatia: Asadar este foarte important sa stim sa rezolvam ecuatiile, deoarece acestea ajuta la rezolvarea, descoperirea anumitor lucruri importante din stiinta.

Rezolvati Ecuatia 5x 3 23
vizitati articolul complet aici : https://doubtnut.app/question-answers/rezolvati-ecuatia-5x-3-23-167513
Rezolvati in multimea q ecuatiile: Ecuatiile irationale sunt ecuatiile care contin necunoscuta x sub semnul radical. Savesave rezolvati ecuatiile si inecuatii for later.

Punctul o este egal departat de laturile triunghiului abc.

Rezolvaţi în z ecuaţiile 1 2 2 5 10 5 2 5 x x x x în acest caz sz adică ecuaţia from math 1 at alexandru ioan cuza university. Un motiv ar fi ca ecuatiile joaca un rol esential in din acest motiv studiul ecuatiilor devin o necesitate. Metodele de rezolvare a ecuațiilor depind în general de tipul de ecuație, atât de tipul expresiilor din ecuație, cât și de tipul de valori care pot fi asumate de necunoscute.

Rezolvati in numerele rationale ecuatiile: Varietatea tipurilor de ecuații este mare, la fel și metodele corespunzătoare. Ecuaţia s = {…} sunt ecuaţiile de mai jos echivalente?

Ppt Realizat De Prof Tit Cuprian Powerpoint Presentation Free Download Id 6778594
vizitati articolul complet aici : https://www.slideserve.com/meghan-marshall/realizat-de-prof-tit-cuprian
Savesave rezolvati ecuatiile si inecuatii for later. Pentru a vă abona la anunțurile noi este nevoie să specificați căutarea, setând filtrele de mai jos. Punctul o este egal departat de laturile triunghiului abc.

Si se rezolva utilizind afirmatia 2.

Rezolvati in q ecuatiile : Punctul o este egal departat de laturile triunghiului abc. Ecuatiile irationale sunt ecuatiile care contin necunoscuta x sub semnul radical.

Si se rezolva utilizind afirmatia 2. Rezolvati ecuatiile de gradul i rezolvati inecuatiile de gradul i Varietatea tipurilor de ecuații este mare, la fel și metodele corespunzătoare.

Calameo Xi Matematica In Limba Romana
vizitati articolul complet aici : https://www.calameo.com/books/004503212f6aaf5e65267
1.epitetul poate insoti substantive sau. Punctul o este egal departat de laturile triunghiului abc. Numai câteva tipuri specifice sunt.

Vom ajunge in final la o ecuatie algebrica de gradul i, ii sau mai mare care trebuie rezolvata;

Poate va intrebati de ce trebuie sa invatati sa rezolvati ecuatiile sau de ce trebuie sa le rezolvam. Ecuatiile irationale sunt ecuatiile care contin necunoscuta x sub semnul radical. Ecuaţia s = {…} sunt ecuaţiile de mai jos echivalente?

Posting Komentar untuk "Rezolvati In Q Ecuatiile"